Home > Pallav Chemicals > Biological Stains and Dyes > Ponceau S For Synthesis

Ponceau S For Synthesis
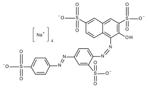
C.I.No.27195 It is used to prepare a stain for rapid reversible detection of protein bands on nitrocellulose or polyvinylidene fluoride membranes (Western blotting), as well as on cellulose acetate membranes. Acid Red 112, 3-Hydroxy-4-(2-sulfo-4-[4-sulfophenylazo]phenylazo)-2,7-naphthalenedisulfonic acid sodium salt

Product Code.
02058
Grade
Electrophoretic stain (For Molecular Biology)
Purity
CAS No.
6226-79-5
Molecular Formula
C22H12N4Na4O13S4
Molecular Weight
760.56
H.S.Code
3204.90000
Shelf Life
60 Months

Physical Properties

Physical state at 20 °C
Solid
Colour
Dark red crystalline
Odour
Characteristic odour
pH value
9 at 10 g/l at 20 °C
Solubility in water [% weight]
Soluble in water

Packaging

Specification

Appearance
A dark red crystalline powder
Absorption maxima in water
517 - 523 nm
Specific absorptivity 1%/1cm (at lmax)
Min 460
Loss on dryig (at 110°C)
Max 10%
Suitability (for electrophoresis)
Passes test

Safety Information and Hazard Symbols

Symbol: GHS07
Signal Word: Warning
Hazardous Statement: H315-H319-H335
Precaution Statement: P261-P305 + P351 + P338