Home > Pallav Chemicals > Quaternary Ammonium Compounds > Tetrapropyl Ammonium Bromide 99% Extrapure

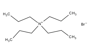
Tetrapropyl Ammonium Bromide 99% Extrapure

Product Code.
02665
Grade
Extrapure
Purity
99%
CAS No.
1941-30-6
Molecular Formula
C12H28BrN
Molecular Weight
266.27
H.S.Code
2923.90000
Shelf Life
60 Months

Physical Properties

Physical state at 20 °C
Solid
Colour
White crystalline
Odour
Odorless
Melting point/ Freezing point [°C]
270 °C
Solubility in water [% weight]
1000 g/l @ 20°C
Partition coefficient Log Pow octanol / water at 20°C
-0.25

Packaging

Specification

Appearance
White crystalline powder
Assay (argentometric)
Min 99.0%
Identity (IR)
Conforms

Safety Information and Hazard Symbols

Symbol: GHS07
Signal Word: Warning
Hazardous Statement: H315-H319-H335
Precaution Statement: P261-P305 + P351 + P338