Home > Pallav Chemicals > Biological Stains and Dyes > Fast Garnet GBC Salt 75% Dye Content Extrapure

Fast Garnet GBC Salt 75% Dye Content Extrapure
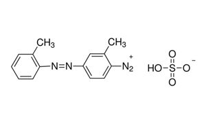
C.I.No.37210 It is used as a diazo dye. 2-Methyl-4-([2-methylphenyl]azo)benzenediazonium salt, 4-Amino-2',3-dimethylazobenzene diazotated, Azoic Diazo No. 4

Product Code.
01201
Grade
Purity
75% dye content
CAS No.
101-89-3
Molecular Formula
C14H14N4O4S
Molecular Weight
334.36
H.S.Code
3204.90000
Shelf Life
60 Months

Physical Properties

Physical state at 20 °C
Solid
Colour
Red brown
Solubility in water [% weight]
7.64 mg/L @ 25°C

Packaging

Specification

Appearance
Orange to brown powder
Absorption maxima
360 nm
Dye content
Min 75%

Safety Information and Hazard Symbols

Symbol: GHS08
Signal Word: Danger
Hazardous Statement: H350
Precaution Statement: P201-P308 + P313